Overview of Nutrients
Nutrition: the study of basic biochemical and physiological processes through which nourishment of the cell is accomplished.
Some important definitions:
Macronutrients (energy providing): proteins, carbohydrates, lipids
Micronutrients: vitamins, minerals, trace elements
Essential Nutrient: substance which must be provided for everyone at every age for health maintenance.
i.e. proteins, carbohydrates, lipids, vitamins and minerals
Desirable Nutrient: may benefit certain individuals under specific conditions such as age, pregnancy, trauma or disease.
i.e. fiber, antioxidants, omega-3 fatty acids
Malnutrition:
1. Obesity- caloric intake in excess of expenditure.
Risks: cardiovascular disease, hypertension and diabetes.
2. Nutritional imbalance-overconsumption of one or more nutrients.
Risks: not many, but remember L-Trp.....
3. Undernutrition:
(a) Protein-calorie malnutrition-inadequate nourishment
Risks: starvation
(b) Kwashiorkor-diet with a low protein/energy ratio, usually based on corn
Risks: failure to thrive and develop
The Macronutrients:
1. Carbohydrates: C, H and O, provide 4 Kcal/g and are the major energy source for the world's population.
(a) Available Carbohydrates: starch in plants and glycogen in animals.
In the human diet- starch, sucrose and lactose are the most important available dietary carbohydrates.
(b) Unavailable Carbohydrates: fiber
Complex plant material comprised primarily of cellulose, lignin and pectins that resist digestion in the human body.
2. Proteins: provides 4 Kcal/g and furnish essential amino acids for the synthesis of body proteins.
Protein Quality:
Essential amino acids- cannot be synthesized by the body and must be obtained in the diet. (Arg, His, Ile, Leu, Lys, Met, Phe, Thr, Trp, Val)
Non-essential amino acids- can be synthesized by the body.
"Ideal protein"- would have an amino acid composition that provides the exact balance of amino acids required for the normal adult.
Biological Value- measure of the ability of a protein to provide essential amino acids to tissues, ability to be successfully digested.
3. Lipids: consist primarily of C and H
(a) Triacylglycerols (triglycerides)- body's main energy source, 9 Kcal/g. Storage form of fat for fuel in the body, 95-98% of ingested fat from food is stored in adipose cells.
Fatty Acids:
Non-essential: are synthesized by the body and are comprised of saturated and unsaturated fatty acids, i.e. palmitic acid, oleic acid. Animal lipids (red meat) are high in saturated fatty acids while plant lipids (olive, canola) are higher in unsaturated fatty acids.
Trans fatty acids: unsaturated fatty acids that have been saturated (hydrogenated).
Essential: cannot be synthesized by the body.

-The body cannot synthesize fatty acids with unsaturated bonds between carbon 9 and the methyl terminus.
Omega-3 fatty acids: found in fish oils are associated with decreased risk of certain diseases, i.e. coronary heart disease and cancer.
(b)Phospholipids- ingested in small amounts and present in the body as constituents of cell membranes.
(c) Sterols
Cholesterol: important for the structure of cell membranes. Substrate for bile acids and steroid hormones. Synthesized in the body, not found in plants.
4. Ethanol is unique among dietary caloric sources in addition to providing a source of energy it has potent pharmacological and biochemical properties. Ethanol furnishes 7 Kcal/g, over 90% of ingested ethanol is metabolized in the liver through oxidation.
Risks: calories consumes as ethanol in excess of daily requirements are deposited as fat.....
at high doses (> 50% of calories) ------> weight loss, water soluble vitamin deficiencies, interference with metabolic pathways, reduced liver function.
The metabolism of ethanol in the liver:

Micronutrients: the 9 essential water soluble vitamins.
| VITAMIN | COENZYME |
BIOCHEMICAL or PHYSIOLOGICAL FUNCTION |
RDA (Adult Male) |
| Niacin (B3) | NAD; NADP | Electron transfer | 20 mg (60 mg Trp) |
| Thiamin (B1) | TPP | Oxidative decarboxylation | 1.5 mg |
| Riboflavin (B2) | FAD; FMN | Electron transfer | 1.7 mg |
| Pantothenic Acid | Coenzyme A | Acyl transfer | 5.0 mg |
| "Pyridoxal's" (B6) | Pyridoxal P | Transamination, decarboxylation, glycogenolysis | 2.0 mg |
| Biotin |
---
|
CO2 transfer | 50 mg |
| Cobalamin (B12) | Methylcobalamin |
Methylation of homocysteine |
2.0 mg |
| Folic Acid |
---
|
One carbon transfer | 200 mg |
| Ascorbic Acid |
---
|
Antioxidant | 60 mg |
Absorption and Transport: a model for all water soluble vitamins
>Following ingestion: conversion to a more readily absorbed form.
Within the enterocyte, intestinal absorptive cell:
>Links with a binding protein.
>Conversion to a transport form to cross membrane from the enterocyte into the plasma.
>Transported from plasma to target tissues.

Vitamins of Carbohydrate and Nitrogen Metabolism
Co-Enzymes
Organic Co-Factors: Vitamins
Niacin (B3), Riboflavin (B2) and Pyridoxal (B6) are water-soluble, energy releasing vitamins
The Vitamin: Niacin
The Co-Enzymes: electron transport carriers in cells involved in "oxidation-reduction" reactions
Nicotinamide Adenine Dinucleotide (NAD+)
Nicotinamide Adenine Dinucleotide Phosphate (NADP+)
How Does NAD+ Work as an Electron Carrier:

Key Metabolic Pathways: glycolysis, citric acid cycle, respiratory chain, amino acid metabolism
Dietary Sources of Niacin (NAD+):
Most animal and plant foods.
Metabolic Sources of NAD+:
Tryptophan is converted to NAD+.
______________________________________________________________________________
The Vitamin: Riboflavin
The Co-Enzyme: electron transport carrier in cells involved in "oxidation-reduction" reactions
Flavin Adenine Dinucleotide (FAD)

How Does FAD Work as an Electron Carrier:

Key Metabolic Pathways: amino acid deamination, purine degradation, citric acid cycle, fatty acid oxidation
Dietary Sources of Riboflavin:
yeast, liver, kidney
Metabolic Sources of FAD:
Not synthesized by mammals.
______________________________________________________________________________
The Vitamin(s): Pyridoxal, Pyridoxine and Pyridoxamine

Key Metabolic Pathways: glycogenolysis, transamination, decarboxylation
Dietary Sources of Vitamin B6:
meats, whole grains, nuts
Biological Oxidants:
-Oxygen, essential for life is also potentially toxic.
-98% of oxygen used by cells is reduced to harmless ground state oxygen or water.
-However, a small fraction of the oxygen in cells is converted to Active Oxygen (AO) species which can damage DNA, proteins, carbohydrates and lipids.
Free Radicals:
-An atom or group of atoms with an unpaired electron.
-Highly reactive.
-React with amino acids in proteins, lipids in membranes, bases in DNA.
-Products of these reactions generate other free radicals ---> chain reactions.
Active Oxygen Species (AO):
Singlet Oxygen:
Produced by UV Light
Though not really a "classic" free radical it is still very reactive. With two electrons singlet oxygen has an unstable conformation and is a great conributer to oxidative cellular damage.
Superoxide Radical Anion:
Though not a significant source of toxicity (short lived) it can be converted to hydrogen peroxide, peroxyl and hydroxyl radical.
When a free radical (R. ) is formed it can react with a lipid to form a lipid radical, which in turn reacts with oxygen to form a lipid peroxyl radical (LOO. ).
Antioxidant Vitamins: C, E and carotenoids
Vitamin C:

Ascorbic acid itself can be oxidized to form a free radical which can act directly with AO species then proceed through a series of reactions to oxalic acid.
Deficiencies: scurvy
Toxicities: increased oxalic acid production -------> kidney stones
RDA: 60 mg
Vitamin E: a-tocopherol (major species)
a-Tocopherol can transfer a hydrogen atom to lipid peroxyl radical forming a stable species which is ultimately recycled back to vitamin E.
Deficiencies: rare, anemia, neurologic disorders
Toxicities: interferes with vitamin K metabolism -----> blood coagulation disorders
RDA: 10 mg
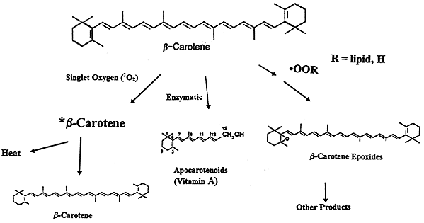
Carotenoids: Vitamin A

Very effective quenchers of singlet oxygen (1O2).
Deficiencies: so far not demonstrated
Toxicities: harmless yellowing of palms and soles of feet
RDA: 1,000 mg
______________________________________________________________________________
Hematopoietic Vitamins
Hematopoietic refers to RBC division and more specifically a lack of the "hematopoietic" vitamins results in reduced RBC division and anemia.
Folic Acid:
Required: for the synthesis of pyrimidines in DNA ----> RBC division
Function: carrier of one carbon units (i.e. methyl transfer reactions)
Source: nearly all foods.
Deficiencies: rare, impaired DNA biosynthesis ----> reduced RBC division ----> anemia.
RDA: 200 mg
Supplements: prescribed during pregnancy to reduce the incidence of neural tube defects in newborns.
______________________________________________________________________________
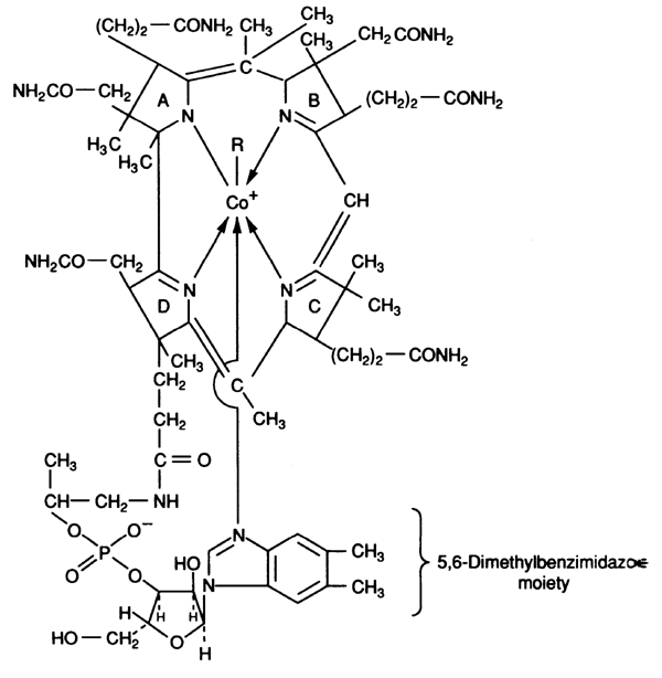
Cobalamin (B12):

Required: for the synthesis of pyrimidines in DNA ----> RBC division.
Structure: complex molecule comprised of a metal (cobalt), a ring system and a nucleotide.
Function: carrier of one carbon units (i.e. methyl transfer reactions)
Source: must be synthesized by microorganisms, found in animal tissue or foods that have been bacterially fermented.
Deficiencies: rare, impaired DNA biosynthesis ----> reduced RBC division ----> anemia.
RDA: 2 mg
Overview of Water-Soluble Vitamins in Metabolism:

© Dr. Noel Sturm 2021